EPHEDRINE SULFATE (Emerphed) Drug Information - Guideline Central

Emerphed (Ephedrine Sulfate) injection

Nexus Pharamaceuticals Inc.
Nexus Pharamaceuticals Inc.
Nexus Pharmaceuticals Inc
Emerphed
Ephedrine Sulfate
Ephedrine Sulfate
EPHEDRINE
Sodium Chloride
Water

1. INDICATIONS AND USAGE

EMERPHED is indicated for the treatment of clinically important hypotension occurring in the setting of anesthesia.

EMERPHED is an alpha- and beta- adrenergic agonist and a norepinephrine-releasing agent that is indicated for the treatment of clinically important hypotension occurring in the setting of anesthesia. (1)

2. DOSAGE AND ADMINISTRATION

  • This is a pre-mixed formulation. Do not dilute before administration. (2)
  • 5 mg to 10 mg administered by intravenous bolus. Additional boluses as needed, not to exceed a total dose of 50 mg. (2)

2.1 General Dosage and Administration Instructions

  • This is a premixed formulation. Do not dilute prior to use.
  • Discard any unused portion of EMERPHED.
  • Inspect parenteral drug products visually for particulate matter and discoloration prior to administration, whenever solution and container permit.

EMERPHED is a clear, colorless solution. Do not use if the solution is not clear or if particulate matter is present.

2.2 Dosing for the Treatment of Clinically Important Hypotension in the Setting of Anesthesia

The recommended dosages for the treatment of clinically important hypotension in the setting of anesthesia is an initial dose of 5 mg to 10 mg administered by intravenous bolus. Administer additional boluses as needed, not to exceed a total dosage of 50 mg.

  • Adjust dosage according to the blood pressure goal (i.e., titrate to effect).

3. DOSAGE FORMS AND STRENGTHS

EMERPHED (ephedrine sulfate) injection is a clear, colorless solution available as a single-dose vial that contains 50 mg/10 mL ephedrine sulfate, equivalent to 38 mg/10 mL ephedrine base (5 mg/mL ephedrine sulfate, equivalent to 3.8 mg/mL ephedrine base).

Injection: 50 mg/10 mL ephedrine sulfate, equivalent to 38 mg/10 mL ephedrine base in a single-dose vial (5 mg/mL ephedrine sulfate, equivalent to 3.8 mg/mL ephedrine base). (3)

4. CONTRAINDICATIONS

None

None (4)

5. WARNINGS AND PRECAUTIONS

  • Pressor Effects with Concomitant Use with Oxytocic Drugs: Pressor effect of sympathomimetic pressor amines is potentiated (5.1)
  • Tachyphylaxis and Tolerance: Repeated administration of EMERPHED may cause tachyphylaxis (5.2)

5.1 Pressor Effect with Concomitant Oxytocic Drugs

Serious postpartum hypertension has been described in patients who received both a vasopressor (i.e., methoxamine, phenylephrine, ephedrine) and an oxytocic (i.e., methylergonovine, ergonovine) [see Drug Interactions (7)]. Some of these patients experienced a stroke. Carefully monitor the blood pressure of individuals who have received both EMERPHED and an oxytocic.

5.2 Tolerance and Tachyphylaxis

Data indicate that repeated administration of ephedrine can result in tachyphylaxis. Be aware of this possibility when treating anesthesia-induced hypotension with EMERPHED and be prepared with an alternative pressor to mitigate unacceptable responsiveness.

5.3 Risk of Hypertension When Used Prophylactically

When used to prevent hypotension, ephedrine has been associated with an increased incidence of hypertension compared with when ephedrine is used to treat hypotension.

6. ADVERSE REACTIONS

The following adverse reactions associated with the use of ephedrine sulfate were identified in the literature. Because these reactions are reported voluntarily from a population of uncertain size, it is not always possible to estimate their frequency reliably or to establish a causal relationship to drug exposure.

Gastrointestinal disorders: Nausea, vomiting

Cardiac disorders: Tachycardia, palpitations (thumping heart), reactive hypertension, bradycardia, ventricular ectopics, R-R variability

Nervous system disorders: Dizziness

Psychiatric disorders: Restlessness

Most common adverse reactions during treatment: nausea, vomiting, and tachycardia. (6)

To report SUSPECTED ADVERSE REACTIONS, contact Nexus Pharmaceuticals at (855) 642-2594 or FDA at 1-800-FDA-1088 or www.fda.gov/medwatch .

7. DRUG INTERACTIONS

  • Interactions that Augment Pressor Effect: clonidine, oxytocin and oxytocic drugs, propofol, monoamine oxidase inhibitors (MAOIs), and atropine. Monitor blood pressure. (7)
  • Interactions that Antagonize the Pressor Effect: Antagonistic effects with α-adrenergic antagonists, β-adrenergic antagonists, reserpine, quinidine, mephentermine. Monitor blood pressure. (7)
  • Guanethidine: EMERPHED may inhibit the neuron blockage produced by guanethidine, resulting in loss of antihypertensive effectiveness. Monitor blood pressure and adjust the dosage of pressor accordingly.
  • Rocuronium: EMERPHED may reduce the onset time of neuromuscular blockade when used for intubation with rocuronium if administered simultaneously with anesthetic induction. Be aware of this potential interaction. No treatment or other interventions are needed.
  • Epidural anesthesia: EMERPHED may decrease the efficacy of epidural blockade by hastening the regression of sensory analgesia. Monitor and treat the patient according to clinical practice.
  • Theophylline: Concomitant use of EMERPHED may increase the frequency of nausea, nervousness, and insomnia. Monitor patient for worsening symptoms and manage symptoms according to clinical practice.
  • Cardiac glycosides: Giving EMERPHED with a cardiac glycoside, such as digitalis, may increase the possibility of arrhythmias. Carefully monitor patients on cardiac glycosides who are also administered EMERPHED.

8. USE IN SPECIFIC POPULATIONS

8.1 Pregnancy

Risk Summary

Available data from randomized studies, case series, and reports of ephedrine sulfate use in pregnant women have not identified a drug-associated risk of major birth defects, miscarriage, or adverse maternal or fetal outcomes. However, there are clinical considerations [see Clinical Considerations ]. In animal reproduction studies, decreased fetal survival and fetal body weights were observed in the presence of maternal toxicity after normotensive pregnant rats were administered 60 mg/kg intravenous ephedrine sulfate (12 times the maximum recommended human dose (MRHD) of 50 mg/day). No malformations or embryofetal adverse effects were observed when pregnant rats or rabbits were treated with intravenous bolus doses of ephedrine sulfate during organogenesis at doses 1.9 and 7.7 times the MRHD, respectively [See data ].

The estimated background risk of major birth defects and miscarriage for the indicated population is unknown. All pregnancies have a background risk of birth defect, loss, or other adverse outcomes. In the U.S. general population, the estimated background risk of major birth defects and miscarriage in clinically recognized pregnancies is 2 to 4% and 15 to 20%, respectively.

Clinical Considerations

Fetal/Neonatal Adverse Reactions

Cases of potential metabolic acidosis in newborns at delivery with maternal ephedrine exposure have been reported in the literature. These reports describe umbilical artery pH of ≤7.2 at the time of delivery [see Clinical Pharmacology 12.3]. Monitoring of the newborn for signs and symptoms of metabolic acidosis may be required. Monitoring of infant's acid-base status is warranted to ensure that an episode of acidosis is acute and reversible.

Data

Animal Data

Decreased fetal body weights were observed when pregnant rats were administered intravenous bolus doses of 60 mg/kg ephedrine sulfate (12 times the maximum recommended human dose (MRHD) of 50 mg based on body surface area) from Gestation Day 6-17. This dose was associated with evidence of maternal toxicity (decreased body weight of dams and abnormal head movements). No malformations or fetal deaths were noted at this dose. No effects on fetal body weight were noted at 10 mg/kg (1.9 times the MRHD of 50 mg).

No evidence of malformations or embryo-fetal toxicity were noted in pregnant rabbits administered intravenous bolus doses up to 20 mg/kg ephedrine sulfate (7.7 times the maximum recommended human dose (MRHD) of 50 mg based on body surface area) from Gestation Day 6-20. This dose was associated with expected pharmacological maternal effects (increased respiration rate, dilated pupils, piloerection).

Decreased fetal survival and body weights in the presence of maternal toxicity (increased mortality) were noted when pregnant dams were administered intravenous bolus doses of 60 mg/ kg epinephrine sulfate (approximately 12 times the MRHD based on body surface area) from GD 6 through Lactation Day 20. No adverse effects were noted at 10 mg/kg (1.9 times the MRHD).

8.2 Lactation

Risk Summary

A single published case report indicates that ephedrine is present in human milk. However, no information is available on the effects of the drug on the breastfed infant or the effects of the drug on milk production. The developmental and health benefits of breastfeeding should be considered along with the mother's clinical need for EMERPHED and any potential adverse effects on the breastfed child from EMERPHED or from the underlying maternal condition.

8.4 Pediatric Use

Safety and effectiveness of EMERPHED in pediatric patients have not been established.

Animal Toxicity Data

In a study in which juvenile rats were administered intravenous bolus doses of 2, 10, or 60 mg/kg ephedrine sulfate daily from Postnatal Day 35 to 56, an increased incidence of mortality was noted at the high dose of 60 mg/kg. The no-adverse-effect level was 10 mg/kg (approximately 1.9 times a maximum daily dose of 50 mg in a 60 kg person based on body surface area)

8.5 Geriatric Use

Clinical studies of ephedrine did not include sufficient numbers of subjects aged 65 and over to determine whether they respond differently from younger subjects. Other reported clinical experience has not identified differences in responses between the elderly and younger patients. In general, dose selection for an elderly patient should be cautious, usually starting at the low end of the dosing range, reflecting the greater frequency of decreased hepatic, renal, or cardiac function, and of concomitant disease or other drug therapy.

This drug is known to be substantially excreted by the kidney, and the risk of adverse reactions to this drug may be greater in patients with impaired renal function. Because elderly patients are more likely to have decreased renal function, care should be taken in dose selection, and it may be useful to monitor renal function.

8.6 Renal Impairment

Ephedrine and its metabolite are excreted in urine. In patients with renal impairment, excretion of ephedrine is likely to be affected with a corresponding increase in elimination half-life, which will lead to slow elimination of ephedrine and consequently prolonged pharmacological effect and potentially adverse reactions. Monitor patients with renal impairment carefully after the initial bolus dose for adverse events.

10. OVERDOSAGE

Overdose of EMERPHED can cause a rapid rise in blood pressure. In the case of an overdose, careful monitoring of blood pressure is recommended. If blood pressure continues to rise to an unacceptable level, parenteral antihypertensive agents can be administered at the discretion of the clinician.

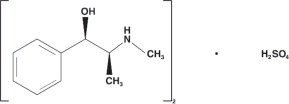
11. DESCRIPTION

EMERPHED (ephedrine sulfate) injection is a clear, colorless, sterile solution for intravenous injection. The chemical name of ephedrine sulfate is benzenemethanol, α-[1-(methylamino)ethyl]-, [R-(R*,S*)]-, sulfate (2:1) (salt), and the molecular weight is 428.5 g/mol. Its structural formula is depicted below:

Structural Formula

Ephedrine sulfate is freely soluble in water and ethanol, very slightly soluble in chloroform, and practically insoluble in ether. Each mL contains ephedrine sulfate, USP 5 mg (equivalent to 3.8 mg ephedrine base), 0.9% sodium chloride, USP in water for injection. The pH range is 4.5 to 7.0.

Structural Formula

12. CLINICAL PHARMACOLOGY

12.1 Mechanism of Action

Ephedrine sulfate is a sympathomimetic amine that directly acts as an agonist at α- and β-adrenergic receptors and indirectly causes the release of norepinephrine from sympathetic neurons. Pressor effects by direct alpha- and beta-adrenergic receptor activation are mediated by increases in arterial pressures, cardiac output, and peripheral resistance. Indirect adrenergic stimulation is caused by norepinephrine release from sympathetic nerves.

12.2 Pharmacodynamics

Ephedrine stimulates heart rate and cardiac output and variably increases peripheral resistance; as a result, ephedrine usually increases blood pressure. Stimulation of the α-adrenergic receptors of smooth muscle cells in the bladder base may increase the resistance to the outflow of urine. Activation of β- adrenergic receptors in the lungs promotes bronchodilation.

The overall cardiovascular effect from ephedrine is the result of a balance among α-1 adrenoceptor- mediated vasoconstriction, β-2 adrenoceptor- mediated vasoconstriction, and β-2 adrenoceptor-mediated vasodilatation. Stimulation of the β-1 adrenoceptors results in positive inotrope and chronotrope action.

Tachyphylaxis to the pressor effects of ephedrine may occur with repeated administration [see Warnings and Precautions 5.2 ].

12.3 Pharmacokinetics

Publications studying pharmacokinetics of oral administration of (-)-ephedrine support that (-)-ephedrine is metabolized into norephedrine. However, the metabolism pathway is unknown. Both the parent drug and the metabolite are excreted in urine. Limited data after IV administration of ephedrine support similar observations of urinary excretion of drug and metabolite. The plasma elimination half-life of ephedrine following oral administration was about 6 hours.

Ephedrine crosses the placental barrier [see Use in Specific Populations 8.1].

13. NONCLINICAL TOXICOLOGY

13.1 Carcinogenesis, Mutagenesis , Impairment of Fertility

Carcinogenesis: Two-year feeding studies in rats and mice conducted under the National Toxicology Program (NTP) demonstrated no evidence of carcinogenic potential with ephedrine sulfate at doses up to 10 mg/kg/day and 27 mg/kg/day (approximately 2 times and 3 times the maximum human recommended dose on a mg/m2 basis, respectively).

Mutagenesis: Ephedrine sulfate tested negative in the in vitro bacterial reverse mutation assay, the in vitro mouse lymphoma assay, the in vitro sister chromatid exchange, the in vitro chromosomal aberration assay, and the in vivo rat bone marrow micronucleus assay.

Impairment of Fertility: There was no impact on fertility or early embryonic development in a study in which male rats were administered intravenous bolus doses of 0, 2, 10, or 60 mg/kg ephedrine sulfate (up to 12 times the maximum recommended human dose of 50 mg based on body surface area) for 28 days prior to mating and through gestation and females were treated for 14 days prior to mating through Gestation Day 7.

14. CLINICAL STUDIES

The evidence for the efficacy of EMERPHED (ephedrine sulfate) injection is derived from the published literature. Increases in blood pressure following administration of ephedrine were observed in 14 studies, including 9 where ephedrine was used in pregnant women undergoing neuraxial anesthesia during Cesarean delivery, 1 study in non-obstetric surgery under neuraxial anesthesia, and 4 studies in patients undergoing surgery under general anesthesia. Ephedrine has been shown to raise systolic and mean blood pressure when administered as a bolus dose following the development of hypotension during anesthesia.

16. HOW SUPPLIED/STORAGE AND HANDLING

EMERPHED (ephedrine sulfate) injection is a clear, colorless solution available as a single-dose vial that contains 50 mg/10 mL ephedrine sulfate, equivalent to 38 mg/10 mL ephedrine base (5 mg/mL ephedrine sulfate, equivalent to 3.8 mg/mL ephedrine base) and is supplied as follows:

EMERPHED (ephedrine sulfate) injection 50 mg/10 mL (5 mg/mL) is not made with natural rubber latex.

Store at 25°C (77°F); excursions permitted to 15°C to 30°C (59°F to 86°F) [see USP Controlled Room Temperature].

Store in carton until time of use. For single dose only. Discard unused portion.

Patent, www.emerphed.com/patent

Manufactured in Italy for:

Nexus Pharmaceuticals Logo

Nexus Pharmaceuticals, Inc.
400 Knightsbridge Parkway
Lincolnshire, IL 60069
USA

EPHPIR003

Nexus Pharmaceuticals Logo

Principal Display Panel – 5 mg/mL Carton Label

NDC 14789-250-10

EMERPHED ®
(ephedrine sulfate) Injection

50 mg/10 mL (5 mg/mL)
(equivalent to 38 mg/10 mL ephedrine base)

For Intravenous Use Only

Rx Only

Premixed formulation -
Do not dilute

10 x 10 mL Single-dose Vials

NEXUS
PHARMACEUTICALS

Principal Display Panel – 5 mg/mL Carton Label
Principal Display Panel – 5 mg/mL Carton Label

Principal Display Panel – 5 mg/mL Vial Label

NDC 14789-250-07

10 mL Single-dose Vial

EMERPHED ®
(ephedrine sulfate) Injection

50 mg/10 mL (5 mg/mL)
(equivalent to 38 mg/10 mL
ephedrine base)

Premixed formulation –Do not dilute

For Intravenous Use Only

Rx Only

EPH5-10LBLR003IT 64000066 F.65

Principal Display Panel – 5 mg/mL Vial Label
Principal Display Panel – 5 mg/mL Vial Label
You rely on Guideline Central for transparency

Guideline Central and select third party use “cookies” on this website to enhance the user experience.

This technology helps us gather statistical and analytical information to optimize the relevant content for you.

The user also has the option to opt-out which may have an effect on the browsing experience.